Lectures
» Strobl
I
/
II
/
III
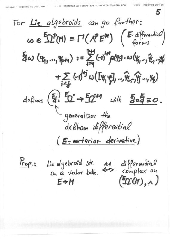
» Strobl I (6/17)
Previous
Next