We observe \(n\) independent triplets \((X_i, \delta_i, \mathbf{Z}_i), i = 1, \ldots, n\), where
The Cox model is used to estimate the effect of covariates \(\mathbf{Z}_i\) on continuous (but arbitrary) distribution of failure times \(T_i\) and to test its significance.
In this exercise we will deal with covariates constant in time.
We suppose that the hazard function \(\lambda\) of failure time distribution (assumed to be continuous) given covariates \(T|\mathbf{Z}\) is of the form: \[\lambda(t| \mathbf{Z}) = \lambda_0(t) \exp \left\{ \boldsymbol{\beta}^{\mathsf{T}} \mathbf{Z} \right\},\] where:
Notes:
\[\dfrac{\lambda(t| \mathbf{Z}_1)}{\lambda(t| \mathbf{Z}_2)} = \dfrac{\lambda_0(t)}{\lambda_0(t)} \cdot \dfrac{\exp \left\{ \boldsymbol{\beta}^{\mathsf{T}} \mathbf{Z}_1 \right\}}{\exp \left\{ \boldsymbol{\beta}^{\mathsf{T}} \mathbf{Z}_2 \right\}} = \exp \left\{ \boldsymbol{\beta}^{\mathsf{T}} (\mathbf{Z}_1 - \mathbf{Z}_2) \right\} \quad \text{is constant in time } t.\] Interpretation of \(\beta_j\) coefficient can be derived in the usual way: \[\exp \beta_j = \dfrac{\lambda(t| \mathbf{Z} + \mathbf{e}_j)}{\lambda(t| \mathbf{Z})}.\]
In the case of constant regressors we can express the Cox model in the terms of survival functions:
Model is estimated by partial likelihood method that shares properties with classical maximum likelihood method. We can perform tests for:
We can use the Breslow estimator of cumulative baseline hazard function \[ \widehat{\Lambda}_0(t) = \int \limits_{0}^{t} \dfrac{ \, \mathrm{d} \overline{N}(s)}{\sum \limits_{i=1}^n Y_i (s) \exp \left\{ \widehat{\boldsymbol{\beta}}^{\mathsf{T}} \mathbf{Z}_i \right\}} \] to obtain an estimate of general survival function \[ \widehat{S}(t| \mathbf{Z}) = \exp \left\{ - \widehat{\Lambda}(t| \mathbf{Z})\right\} = \exp \left\{ - \widehat{\Lambda}_0(t) \exp \left\{ \widehat{\boldsymbol{\beta}}^{\mathsf{T}} \mathbf{Z} \right\} \right\}. \]
We will work with the dataset pbc contained in the
survival library, see Exercise 1 or help(pbc) for
description.
library(survival)
data(pbc)
variables <- c("id", "time", "status", "trt", "sex", "edema", "bili", "albumin", "platelet")
data <- pbc[, variables]
We will work with the following variables:
| Var. name | Description |
|---|---|
| id | case number |
| status | status at the end of follow-up: 0 = censored, 1 = transplanted, 2 = dead |
| time | number of days of follow-up |
| trt | treatment: 1 = D-penicillamin, 2 = placebo, NA = not randomised |
| sex | sex m/f |
| edema | 0 = no edema, 0.5 = untreated or successfully treated, 1 = edema despite diuretic therapy |
| bili | serum bilirubin (mg/dl) |
| albumin | serum albumin (g/dl) |
| platelet | platelet count |
Here are initial rows of the dataset:
head(data)
## id time status trt sex edema bili albumin platelet
## 1 1 400 2 1 f 1.0 14.5 2.60 190
## 2 2 4500 0 1 f 0.0 1.1 4.14 221
## 3 3 1012 2 1 m 0.5 1.4 3.48 151
## 4 4 1925 2 1 f 0.5 1.8 2.54 183
## 5 5 1504 1 2 f 0.0 3.4 3.53 136
## 6 6 2503 2 2 f 0.0 0.8 3.98 NA
We are interested in modelling survival time in untransplanted patients. Patients who had liver transplant will be censored at the moment the transplant was done. Therefore, similarly as in Exercise 1 define \(\delta\) indicator as
data$delta = (data$status == 2)
First, we will start with explorative analysis using methods we
already know - non-parametric estimation of survival function
(Kaplan-Meier) and logrank test for comparing two (possibly more)
different groups. You can also plot smoothed estimators of hazard
functions (using library(muhaz)) and discuss whether they
seem proportional. The very similar comparison can be made even in terms
of logarithm of Nelson-Aalen estimator of cumulative hazard.
If the proportional hazards assumption holds, then logarithm of cumulative hazard becomes \[ \log( \Lambda(t | \mathbf{Z})) = \log \left( \Lambda_0(t) \cdot \exp \left\{ \boldsymbol{\beta}^{\mathsf{T}} \mathbf{Z} \right\}\right) = \boldsymbol{\beta}^{\mathsf{T}} \mathbf{Z} + \log \Lambda_0(t). \] Which means that the difference of log-cumulative hazard of two individuals is constant in time: \[ \log( \Lambda(t | \mathbf{Z}_1)) - \log( \Lambda(t | \mathbf{Z}_2)) = \boldsymbol{\beta}^{\mathsf{T}} \left( \mathbf{Z}_1 - \mathbf{Z}_2\right). \] Therefore, plotting such difference can be a useful tool for revealing potential problems with satisfying the proportional hazards assumption:
fit <- survfit(Surv(time, pbc$status==2) ~ sex, data = pbc)
lL1 <- log(fit[1]$cumhaz)
lL2 <- log(fit[2]$cumhaz)
# The problem is that each curve is for different time points
# We need to combine them under united times
lcumhaz <- data.frame(lL1 = c(lL1, rep(NA, length(lL2))),
lL2 = c(rep(NA, length(lL1)), lL2),
time = fit$time)
# order data according to time
lcumhaz <- lcumhaz[order(lcumhaz$time),]
# extending the values
last <- c(-Inf, -Inf)
for(i in 1:dim(lcumhaz)[1]){
miss <- is.na(lcumhaz[i,1:2])
lcumhaz[i, which(miss)] <- last[which(miss)]
last <- lcumhaz[i,1:2]
}
# only from the max of min times of each subdata
mintime <- max(sapply(1:2, function(i){min(fit[i]$time)}))
lcumhaz <- lcumhaz[lcumhaz$time >= mintime,]
lcumhaz$difference <- lcumhaz$lL1 - lcumhaz$lL2
par(mfrow = c(1,2), mar = c(4,4,1,1))
plot(lL1 ~ fit[1]$time, col = "blue", type = "s", xlab = "Time [days]", ylab = "Log-cumulative hazard")
lines(lL2 ~ fit[2]$time, col = "red", type = "s")
legend("topleft", c("Male", "Female"), title = "Gender", col = c("blue", "red"), lty = 1, bty = "n")
plot(difference ~ time, lcumhaz, xlab = "Time [days]", ylab = "Difference in log-cumulative hazards",
ylim = c(-1,1)*max(abs(lcumhaz[,1:2]))/2, type = "s", col = "black", lwd = 2)
If the black curve is not constant, then the proportional hazards
assumption could by violated with respect to this covariate. In this
case it goes from negative values to positive ones as the curves on the
left cross each other, therefore, the proportionality with respect to
gender may be questioned. However, look only for very serious
violations, otherwise, you would never fit any Cox model as the
difference will not be perfectly constant at any circumstances.
An illustration of all possible (read as “not all of them are expected from you”) plots to be supplied (optimization of your code so that it can be easily used for different variables is recommended, but not necessary):
ExplorePBC("chol", type = "continuous", ngroups = 3)

The function to fit the Cox proportional hazards model is called
coxph. It’s syntax is [example]
fit <- coxph(Surv(time, delta) ~ log(age) + chol + hepato, data = pbc)
See help(coxph) for additional parameters such as
weights (in case of repeated observations),
na.action (missing-data filter function), ties
(methods for tie handling), …
You can use function summary to view \(\boldsymbol{\beta}\) coefficient estimates
(including exponentiated versions):
summary(fit)
## Call:
## coxph(formula = Surv(time, delta) ~ log(age) + chol + hepato,
## data = pbc)
##
## n= 284, number of events= 114
## (134 observations deleted due to missingness)
##
## coef exp(coef) se(coef) z Pr(>|z|)
## log(age) 2.406e+00 1.109e+01 5.231e-01 4.599 4.24e-06 ***
## chol 1.152e-03 1.001e+00 3.134e-04 3.675 0.000238 ***
## hepato 8.941e-01 2.445e+00 2.051e-01 4.358 1.31e-05 ***
## ---
## Signif. codes: 0 '***' 0.001 '**' 0.01 '*' 0.05 '.' 0.1 ' ' 1
##
## exp(coef) exp(-coef) lower .95 upper .95
## log(age) 11.087 0.09019 3.977 30.910
## chol 1.001 0.99885 1.001 1.002
## hepato 2.445 0.40899 1.636 3.655
##
## Concordance= 0.714 (se = 0.023 )
## Likelihood ratio test= 56.08 on 3 df, p=4e-12
## Wald test = 53.26 on 3 df, p=2e-11
## Score (logrank) test = 57.36 on 3 df, p=2e-12
In our example consider patient of age 50 with hepatomegaly and serum cholesterol 300 mg/dl.
There exists predict.coxph function that seems to be
useful for calculating
type = "lp" - linear predictor,type = "risk" - risk score (exp(lp)),type = "expected" - cumulative hazard function (the
expected number of events given the covariates),type = "survival" - survival function,type = "terms"- the terms of the linear predictor.However, check that you have its new version! The
reference values for baseline used to be means of covariates by default
(even dummy variables used for parametrization of categorical
covariates), see also blackboard notes for
explanation. The type = "expected" setting now works
properly
time.grid <- seq(0, max(pbc$time), length.out = 1000)
baseline <- predict(fit, newdata = data.frame(time = time.grid,
delta = 1,
age = 1,
chol = 0,
hepato = 0),
type = "expected")
patient_cumhaz <- predict(fit, newdata = data.frame(time = time.grid,
delta = 1,
age = 50,
chol = 300,
hepato = 1),
type = "expected")
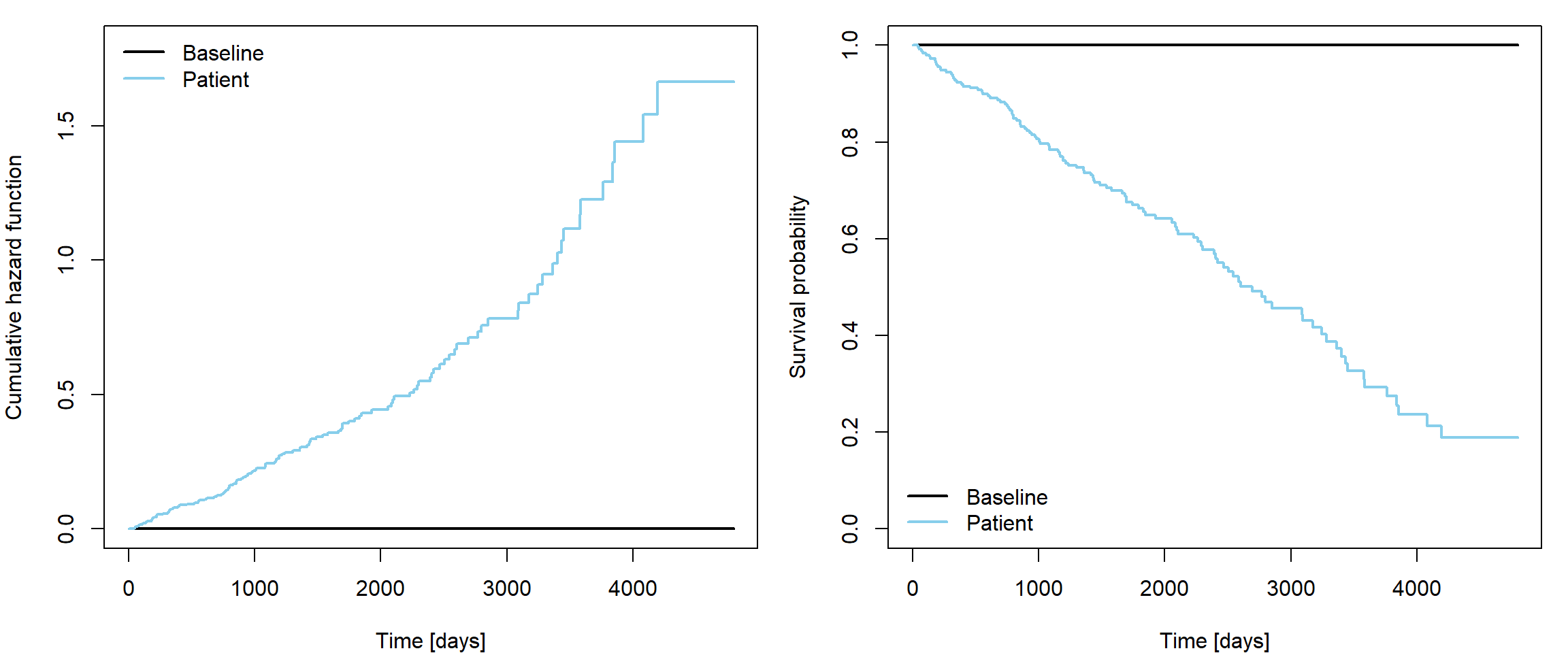
par(mfrow = c(1,2), mar = c(4,4,1,1))
plot(baseline ~ time.grid,
ylim = c(0,1.8), ylab = "Cumulative hazard function",
xlab = "Time [days]", type = "l", col = "black", lwd = 2)
lines(patient_cumhaz ~ time.grid, col = "skyblue", lwd = 2)
legend("topleft", c("Baseline", "Patient"),
col = c("black", "skyblue"), lwd = 2, bty = "n")
plot(exp(-baseline) ~ time.grid,
ylim = c(0,1), ylab = "Survival probability",
xlab = "Time [days]", type = "l", col = "black", lwd = 2)
lines(exp(-patient_cumhaz) ~ time.grid, col = "skyblue", lwd = 2)
legend("bottomleft", c("Baseline", "Patient"),
col = c("black", "skyblue"), lwd = 2, bty = "n")

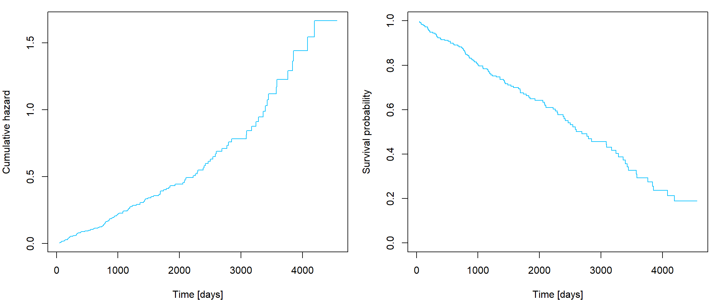
Estimator of baseline cumulative hazard \(\widehat{\Lambda}_0(t)\) can be obtained
using function basehaz with option
centered = F. General cumulative hazard function estimator
can be obtained by combination of basehaz and corresponding
exponentiated linear predictor. Survival function estimator can be
obtained using \(S = \exp \left\{ -
\Lambda\right\}\) transformation:
L0 <- basehaz(fit, centered = F)
# Manual calculation of exp(linear predictor)
patient_LinPred <- sum(c(log(50), 300, 1)*fit$coefficients)
patient_Lambda <- L0$hazard * exp(patient_LinPred)
par(mfrow = c(1,2), mar = c(4,4,1,1))
plot(patient_Lambda~L0$time, type = "s", col = "deepskyblue", xlab = "Time [days]", ylab = "Cumulative hazard")
plot(exp(-patient_Lambda)~L0$time, type = "s", col = "deepskyblue", ylim = c(0,1),
xlab = "Time [days]", ylab = "Survival probability")

More practical way is to supply newdata to
survfit function applied to fit object (output
of coxph function):
newdata <- data.frame(age = 50, chol = 300, hepato = 1)
fitnew <- survfit(fit, newdata = newdata, conf.type = "plain")
par(mfrow = c(1,2), mar = c(4,4,1,1))
plot(fitnew, fun = "cumhaz", xlab = "Time [Days]", ylab = "Cumulative hazard", col = "deepskyblue", conf.int = F)
plot(fitnew, xlab = "Time [Days]", ylab = "Survival probability", col = "deepskyblue")

You can use libraries ggplot2 and survminer
to obtain visually nice plots:
library(survminer)
library(ggplot2)
newdata <- with(pbc, data.frame(age = c( 50, 50, 50),
chol = c(300, 300, 300),
hepato = c( 1, 0, 0.5176056)))
fitnew <- survfit(fit, newdata = newdata, conf.type = "plain")
ggsurvplot(fitnew, data = newdata,
conf.int = TRUE, censor= FALSE,
legend.labs=c("Patient 1", "Patient 2", "Patient 3"),
ggtheme = theme_minimal())

The logic of specifying the model formula is the same as with
functions lm or glm. Printing the results and
performing tests of hypotheses for model building is also very similar
to other regression functions in R:
summary(fit)
anova(fit)
anova(fit1, fit2)
drop1(fit, test = "Chisq")
add1(fit, scope = "bili:trt", test = "Chisq")
The parameter estimation is based on the maximum partial likelihood
method but the asymptotic properties, tests etc. are all the same as
with ordinary likelihood methods. In particular, a submodel is tested
against a wider model by likelihood ratio tests performed by functions
anova or drop1. The difference of
log-partial-likelihoods multiplied by 2 has asymptotically \(\chi^2_m\) distribution if the submodel is
true, where \(m\) is the difference in
the number of parameters. The tests shown in the parameter table of
summary function are Wald tests for zero values of the
individual parameters.
Is there a way to use some residual characteristics and plots for checking the model fit or model asumptions similarly as in linear regression? However, what would be the residuals in this case?
If \(T\) is distribution with survival function \(S(t)\) then variable \(-\log S(T)\) follows \(\mathsf{Exp}(1)\) distribution. Which inspires us to use \[\widehat{r}_{i}^{C} = - \log \widehat{S}(X_i | \mathbf{Z}_i).\]
These are defined as \[\widehat{r}_{i}^{L} = \delta_i - \widehat{r}_{i}^{C}\] and their values vary between \(-\infty\) and 1, they have zero mean and are approximately uncorrelated in large samples. Plot them against
and add lowess curve for visualizing the local
behaviour.
Keep in mind that they do not have to be symmetrically distributed around 0 even when the fitted model is correct.
They are the default residuals in coxph output:
fit <- coxph(Surv(time,delta)~log(age)+chol+hepato,data=pbc)
fit$residuals # or use
residuals(fit, type = "martingale")
par(mfrow = c(1,3), mar = c(4,4,1,1))
COL <- c("black", "navyblue")
COLlight <- c("grey", "skyblue")
plot(fit$residuals ~ fit$linear.predictors, xlab = "Linear predictor", ylab = "Martingale residuals",
pch = 21, col = COL[fit$y[,2]+1], bg = COLlight[fit$y[,2]+1])
lines(lowess(fit$residuals ~ fit$linear.predictors), col = "red")
legend("bottomleft", c("Censored", "Observed"), col = COL, pt.bg = COLlight, pch = 21, bty = "n")
plot(fit$residuals ~ model.matrix(fit)[,"log(age)"], xlab = "Log(age)", ylab = "Martingale residuals",
pch = 21, col = COL[fit$y[,2]+1], bg = COLlight[fit$y[,2]+1])
lines(lowess(fit$residuals ~ model.matrix(fit)[,"log(age)"]), col = "red")
legend("bottomleft", c("Censored", "Observed"), col = COL, pt.bg = COLlight, pch = 21, bty = "n")
plot(fit$residuals ~ log(pbc[complete.cases(pbc[,c("time","delta","age","chol","hepato")]),"bili"]),
xlab = "Log(bili) [log(mg/dl]", ylab = "Martingale residuals",
pch = 21, col = COL[fit$y[,2]+1], bg = COLlight[fit$y[,2]+1])
lines(lowess(fit$residuals ~ log(pbc[complete.cases(pbc[,c("time","delta","age","chol","hepato")]),"bili"])),
col = "red")
legend("bottomright", c("Censored", "Observed"), col = COL, pt.bg = COLlight, pch = 21, bty = "n")

These residuals are result of symmetrization of Lagakos residuals:
\[\widehat{r}_i^D
= \mathrm{sign} (\widehat{r}_i^L) \sqrt{- 2 \left[ \widehat{r}_i^L +
\delta_i \log \left( \delta_i - \widehat{r}_i^L \right) \right]}
= \mathrm{sign} (\widehat{r}_i^L) \sqrt{- 2 \left[ \widehat{r}_i^L +
\delta_i \log \widehat{r}_i^C \right]}\]

They are called deviance residuals due to their connection to model deviance (scaled difference of log-(partial)-likelihoods under current model of investigation \(\widehat{L}_c\) and the full saturated model \(\widehat{L}_f\)): \[D = -2 \left[ \log \widehat{L}_c - \log \widehat{L}_f \right] = \sum \limits_{i=1}^{n} \left( \widehat{r}_i^D \right)^2\] Although being symmetrically distributed around zero, they do not necessarily sum up to zero. Can be used similarly as Lagakos residuals:
residuals(fit, type = "deviance")

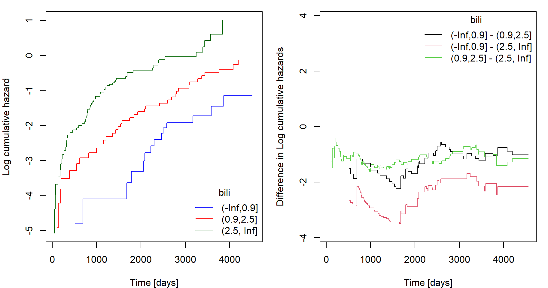
Remember, that under proportional hazards (PH) assumption it holds that \[ \Lambda(t|\mathbf{Z}) = \Lambda_0(t) \exp \left\{ \boldsymbol{\beta}^{\mathsf{T}} \mathbf{Z} \right\}, \quad \text{which implies} \quad \log \Lambda(t|\mathbf{Z}) = \log \Lambda_0(t) + \boldsymbol{\beta}^{\mathsf{T}} \mathbf{Z}. \] Therefore, a difference of two such transformed curves should be a constant function in time: \[ \log \Lambda(t|\mathbf{Z}_1) - \log \Lambda(t|\mathbf{Z}_2) = \boldsymbol{\beta}^{\mathsf{T}} \left( \mathbf{Z}_1 - \mathbf{Z}_2 \right). \]
However, we cannot directly use the estimated survival
curves based on coxph output as this difference will be
always constant. We need to perform stratification
which is a generalization that allows \(K\) different baseline hazard functions
\(\lambda_{0,k}\) in \(K\) strata defined by some of the
covariates. If the PH assumption is violated, this is one of the
possible ways to deal with it.
fit <- coxph(Surv(time,delta)~log(age)+chol+hepato+strata(sex),data=pbc)
cumhaz <- basehaz(fit)
# now contains 3 columns: cumhazard, time and stratification according to selected factor variable
Now we can perform similar calculations as in explorative analysis. However, now the estimates of log-cumulative hazard are adjusted for effects of other covariates. Notice that the plots seem to be the same as in explorative analysis, but they are not, just very similar:
My own implementation of this method using stratification according to
one selected covariate and some fitted coxph model:
check.coxph <- function(fit, var, type, ngroups = 2, koef = 1.1,
COL = c("blue", "red", "darkgreen", "darkviolet", "orange", "skyblue", "pink", "lawngreen"))
{
# fit is coxph object without stratification
if(type == "continuous"){
qq = quantile(pbc[,var], probs = seq(0,1,length.out = ngroups+1), na.rm = T)
ff = cut(pbc[,var], breaks = c(-Inf, qq[2:ngroups], Inf))
}else{
ff = factor(pbc[,var])
}
nlevff <- nlevels(ff[!is.na(ff)])
### update the fit by adding strata
fits <- coxph(as.formula(paste0(as.character(fit$formula[2]),
" ~ ",
as.character(fit$formula[3]),
" + strata(ff)")), data = pbc)
cumhaz <- basehaz(fits)
lcumhaz <- data.frame(time = cumhaz$time)
TAB <- table(cumhaz$strata)
for(i in 1:nlevff){
if(i > 1){
nrep1 <- sum(TAB[1:(i-1)])
}else{
nrep1 = 0
}
if(i < nlevff){
nrep2 <- sum(TAB[(i+1):nlevff])
}else{
nrep2 = 0
}
lcumhaz[,paste0("lL",i)] <- c(rep(NA, nrep1),
log(cumhaz$hazard[cumhaz$strata == levels(ff)[i]]),
rep(NA, nrep2))
}
# order data according to time
lcumhaz <- lcumhaz[order(lcumhaz$time),]
# extending the values
last <- rep(-Inf, nlevff)
for(i in 1:dim(lcumhaz)[1]){
miss <- is.na(lcumhaz[i,paste0("lL",1:nlevff)])
lcumhaz[i, which(miss)+1] <- last[which(miss)]
last <- lcumhaz[i,paste0("lL",1:nlevff)]
}
maxs <- sapply(1:nlevff, function(i){max(abs(lcumhaz[is.finite(lcumhaz[,paste0("lL",i)]),paste0("lL",i)]))})
# Log-cumulative hazards by strata
par(mfrow = c(1,2), mar = c(4,4,1,1))
plot(log(cumhaz$hazard) ~ cumhaz$time, col = "blue",
xlab = "Time [days]", ylab = "Log cumulative hazard", type = "n",
ylim = range(log(cumhaz$hazard)))
for(i in 1:nlevff){
lines(log(cumhaz$hazard[cumhaz$strata==levels(ff)[i]]) ~ cumhaz$time[cumhaz$strata==levels(ff)[i]], col = COL[i], type= "s")
}
legend("bottomright", levels(ff), col = COL, lty = 1, title = var, bty = "n")
ymax <- -Inf
for(i in 1:(nlevff-1)){
for(j in (i+1):nlevff){
difs <- abs(lcumhaz[,paste0("lL",i)] - lcumhaz[,paste0("lL",j)])
ymax <- max(ymax, max(difs[is.finite(difs)]))
}
}
# Differences between log-cumulative hazards of different strata
plot(lcumhaz$lL1 - lcumhaz$lL2 ~ lcumhaz$time,
xlab = "Time [days]", ylab = "Difference in Log cumulative hazards",
ylim = c(-1,1)*ymax*koef, type = "n", col = "black", lwd = 2)
count = 0
leg <- c()
for(i in 1:(nlevff-1)){
for(j in (i+1):nlevff){
count <- count + 1
leg <- c(leg, paste0(levels(ff)[i], " - ", levels(ff)[j]))
lines(lcumhaz[,paste0("lL",i)] - lcumhaz[,paste0("lL",j)] ~ lcumhaz$time, col = count, type = "s")
}
}
legend("topright", leg, title = var, col = 1:count, lty = 1, bty = "n")
}
fit <- coxph(Surv(time,delta)~log(age)+chol+hepato,data=pbc)
#check.coxph(fit, var = "age", type = "continuous", ngroups = 3)
#check.coxph(fit, var = "albumin", type = "continuous", ngroups = 3)
#check.coxph(fit, var = "alk.phos", type = "continuous", ngroups = 3)
#check.coxph(fit, var = "ast", type = "continuous", ngroups = 3)
check.coxph(fit, var = "bili", type = "continuous", ngroups = 3)

#check.coxph(fit, var = "chol", type = "continuous", ngroups = 3)
#check.coxph(fit, var = "copper", type = "continuous", ngroups = 3)
#check.coxph(fit, var = "platelet", type = "continuous", ngroups = 3)
#check.coxph(fit, var = "protime", type = "continuous", ngroups = 3)
#check.coxph(fit, var = "trig", type = "continuous", ngroups = 3)
#check.coxph(fit, "ascites", type = "categorical")
#check.coxph(fit, "hepato", type = "categorical")
#check.coxph(fit, "spiders", type = "categorical")
#check.coxph(fit, "sex", type = "categorical")
#check.coxph(fit, "trt", type = "categorical")
#check.coxph(fit, "edema", type = "categorical")